最新資訊

正航儀器鍘草機試驗方法
2015-07-15 來源: 作者:佚名 閱讀:次
鍘草機試驗方法
1范圍
本標準規定了鍘草機性能試驗與生產試驗的方法。
本標準適用于加工飼草料的圓盤式和筒式鍘草機的試驗。
2引用標準
下列標準所包含的條文,通過在本標準中引用而構成為本標準的條文。本標準出版時,所示版本均為有效。所有標準都會被修訂,使用本標準的各方應探討使用下列標準最新版本的可能性。
GB/T 1032—1985 三相異步電動機試驗方法
GB/T 9239—1988 剛性轉子平衡品質許用不平衡的確定
GB/T 9651—1988 單相異步電動機試驗方法
3 試驗儀器、儀表
試驗儀器、儀表[見附錄A(提示的附錄)]必須經過檢定。試驗用儀器、儀表必須在檢定有效期內。
4性能試驗
性能試驗的目的是考核機具的性能指標和技術經濟指標。
4.1試驗的條件和要求
4.1.1用符合設計要求的電動機為配套動力。其工作電壓為380V(或220V),偏差不大于±5%。
4.1.2試驗中電動機的平均負荷不得超過額定功率的85%~110%范圍。
4.1.3試驗用配套電動機應性能完好,并按GB/T 1032、GB/T 9651的規定做出負載特性曲線。
4.1.4試驗前對樣機按使用說明書要求進行調整,并使動刀與定刀間隙達到使用說明書規定的要求。
4.1.5檢查樣機空運轉時有無異常現象,并調整到正常狀態。
4.1.6試驗時,操作人員應符合規定人數。生產率低于1t/h為1~3 人;1~2t/h為2~4 人,2t/h 以上為3~5 人。
4.1.7試驗時,以未軋過的谷草為測定機器性能和鍘草質量的基本物料。在無谷草的地區,可用稻草代替。物料應純凈,不許有鐵釘、磚石、木枝等硬雜物,其標準含水率為17%。
物料相對含水率:從待鍘物料中不同處取樣3 次,每次抽樣50g,烘干到質量不再減少為止,再稱其質量,按式(1)計算:

4.1.8試驗場地應寬敞,并備有可靠的防火設施。
4.2空載性能
4.2.1感官檢查整機運轉是否平穩,有無異常噪聲、撞擊現象。
4.2.2待鍘草機運轉穩定后,用測功儀表測定空載功率。
4.2.3測定空載時主軸轉速。
4.3負載試驗
4.3.1測試次數不少于3 次,取其平均值。
每次鍘切物料的質量應不低于該機純工作小時生產率的10%。但不得小于50kg。
4.3.2純工作小時生產率、千瓦小時產量、單位草長千瓦小時產量的測定和計算
4.3.2.1純工作小時生產率
將待鍘切物料稱重。從喂入開始至喂入結束時止,記錄純工作時間,按式(2)計算純工作小時生產率。

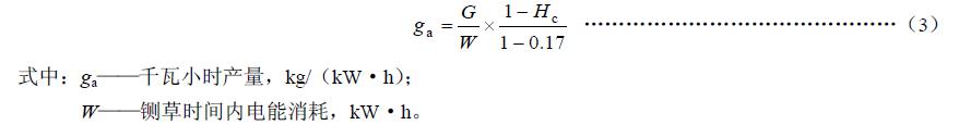
4. 3. 2. 2千瓦小時產量
測定純工作小時生產率的同時,測定耗電量,按式(3)計算千瓦小時產量。

4. 3. 2. 3單位草長千瓦小時產量
單位草長千瓦小時產量按式(4)計算:

4. 3. 3負載功率、負荷程度的測定
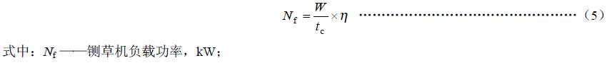
4. 3. 3. 1負載功率
負載功率按式(5)計算:

h——電動機效率,%。
4. 3. 3. 2 負荷程度
負荷程度按式(6)計算:

4. 3. 4拋送距離的測量
4. 3. 4. 1水平拋送距離:從主軸回轉中心至拋送物料的自然堆積中心的水平距離,單位:m。
4. 3. 4. 2垂直吹送高度:拋出物料主流線的中線的最高點與主軸回轉中心間的垂直距離,單位:m。
4. 3. 5鍘草質量的測定與指標計算
4. 3. 5. 1取樣:測試的始、中、末階段,在出草筒口處接樣3 次,混合后十字交叉法取出小樣50g,計算破節率、平均切草長度、標準草長率。
4. 3. 5. 2 破節率
以小樣中帶節草為測定依據,并按式(7)計算:

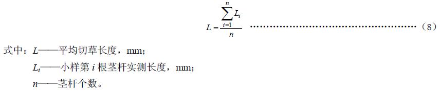
4. 3. 5. 3平均切草長度
在50g的樣品中再次采用十字交叉法取小樣10g,檢出梗(葉、皮除外)測量每節長度,按式(8)計算平均值:

4. 3. 5. 4標準草長率的計算
標準草長率按式(9)計算:

4. 3. 6負載轉速的測定
分始、中、末三次測定負載轉速。
4. 3. 7試驗開始、結束后分別測量主軸軸承溫度,并計算軸承溫升。
5刀輪的靜平衡試驗
刀輪組裝后(不裝刀片)按GB/T 9239的規定進行靜平衡試驗。也可按下列方法測試。

上一篇:
正航儀器鍘草機生產試驗
下一篇:
正航儀器鍘草機簡介

粵公網安備 44190002001231號