最新資訊

正航儀器鍘草機生產試驗
2015-07-15 來源: 作者:佚名 閱讀:次
鍘草機生產試驗
生產試驗的目的是對機器在使用條件下的安全可靠性、性能穩定性、維修保養方便性及主要經濟指標等內容進行綜合性考核。
1生產試驗時鍘切物料和配套動力,可由試驗場地的條件決定。
2生產試驗不得少于100h。
3生產試驗期間,應在始、中、末階段按本標準中4.1~4.3 規定做性能測定。
4試驗過程中,零、部件發生損壞需要更換時,應測量損壞件的磨損量,分析其損壞原因并統計該零件累計工作量、工作小時數。
5對易損件,在試驗前、后分別在同一部位進行測定。并計算其磨損量。
6使用經濟指標的計算
6. 1班次小時生產率
班次小時生產率按式(12)計算:

6. 2使用可靠性

6. 3噸草耗電(油)量
噸草耗電(油)量按式(15)計算:

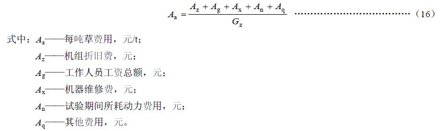
6. 4噸草費用
噸草費用按式(16)計算:

7試驗報告
性能試驗和生產試驗結束后,將所得的資料進行整理、分析,并經過參加試驗人員充分討論后,
提出試驗報告。
試驗報告內容包括:
a)試驗目的;
b)參加試驗機器的技術特性簡介;
c)試驗地點和條件;
d)試驗結果和分析;
e)性能試驗報告;
f)生產試驗報告;
g)對機器結構、性能、維修保養、安全可靠等進行總評價,提出改進意見或建議。
上一篇:
正航儀器割草壓扁機
下一篇:
正航儀器鍘草機試驗方法

粵公網安備 44190002001231號