最新資訊

正航儀器割草壓扁機
2015-07-18 來源: 作者:佚名 閱讀:次
割草壓扁機
1范圍
本標準規定了割草壓扁機的田間試驗方法。
本標準適用于割草壓扁機的田間試驗。
2引用標準
下列標準所包含的條文,通過在本標準中引用而構成為本標準的條文。本標準出版時.所示版本均為有效。所有標準都會被修訂,使用本標準的各方應探討使用下列標準最新版本的可能性
GB/T 5667-1985 農業機械生產試驗方法
JB/T 9700-1999 牧草收獲機械試驗方法通則
3試驗條件及試驗前的準備
氣象條件、地表條件、土壤條件、植物狀況的確定以及試驗要求和試驗地的選擇按JB/T 9700的規定。
4性能試驗4.1試驗目的
考核機器性能是否達到設計要求。評定作業質量是否滿足牧業技術要求及動力配套的合理性
4.2試驗前機組的準備
4.2.1試驗機器應調至最佳技術狀態下進行測定。
4.2.2配套動力應與使用說明書要求一致,技術狀態應良好。
4.3試驗區由穩定區、測定區和停車區組成。測定區長度不小于20m,測定區前應有20m的穩定區,測定區后有指定的停車區.均用標志示出。
4.4作業質量的測定
測定項目均應在測定區進行,測定次數往返各不少于兩次,測定時不得改變機組的工作狀況
4.4.1割幅的測定:每一行程等間隔測兩點。
4.4.2割茬高度的測定:沿割幅方向在全割幅內測量。用1m的鋼直尺放在地面上,等間隔測20根以上,每一行程等間隔測兩點。
4.4.3鋪條斷面形狀的測定:在鋪條斷面上,每隔lOc m測一點鋪條高度,并繪制鋪條斷面圖每往返行程內各測兩處。
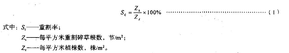
4.4.4重割率的測定:各測點平均每平方米的無頭草節數與每平方米平均牧草株數之比為重割草每點沿機組前進方向取。0.5m長(割幅小于2.5m時取lm長),每一行程等間隔測兩處。
4.4.5收割損失的測定
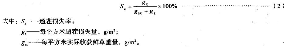
4.4.5.1超茬損失率:實際割茬高于當地牧業技術要求的割茬而造成的損失重量與應割牧草重量之比甲其百分數為超茬損失率。按式(2)計算:
4.4.5.2重割、撥禾、壓扁、鋪條損失率:重割、撥禾、壓扁、鋪條造成的損失重量與應收獲牧草重量之比.其百分數為重割、撥禾、壓扁、鋪條損失率。每一行程等間隔測兩處.每處沿機組前進方向取0.5m長(割幅小于2.5m時取lm長),將此處牧草輕輕取走,揀起地面上小于7cm長的牧草稱重,并換算成每平方米損失量。按式(3)計算:
4.4.5.3 漏割損失率:收割后未被切割牧草高于割茬部分的重量與取樣面積內應收獲牧草重量之比,其百分數為漏割損失率。沿機組前進方向測0.5m長(割幅小于2.5m的測lm長),全割幅范圍內測定未割牧草去掉割茬后的重量,每一行程等間隔測兩點,并換算成每平方米漏割損失量。按式(4)計算
漏割損失率:

4.4.5.4收割總損失率按式(5)計算:

4.4.6壓扁牧草與未壓扁牧草風干速度的比較:在測區內兩種鋪條各選四點,每點選1m長鋪條,兩
種鋪條的寬度及每米草條重量應基本一致(未壓扁草條可用原樣機拆除壓扁器后進行收割獲得).從收割后開始每兩小時稱重一次〔每次操作時盡量不要改變原鋪條形狀及散落牧草),直到牧草風干能進行下一下序作業時為止。計算出測定時的含水率,并繪出干燥速度曲線進行對比。
4.5動力指標的測定
測定次數往返各不少于兩次,測區長度不小于20m。
4.5.1機器工作速度的測定,按式(6)計算:

4.5.2空載功率消耗的測定
4.5.2.1由傳動軸輸人動力的機器,總傳動軸在額定轉速下的機器空載功率消耗按式(7)計算:
4.5.2.2 由地輪馭動的機器,在額定前進速度下的空載牽引功率消耗按式(8)計算:

下一篇:
正航儀器鍘草機生產試驗

粵公網安備 44190002001231號